袋式除尘器选型计算
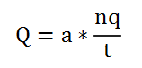
一、处理气体量的计算Q

注:缺乏必要的数据时,可根据生产工艺过程产生的气体量,再加集气罩混进的空气量(约20%~40%)计算。
二、过滤风速的选取V
反吹风袋式除尘器的过滤风速在0.6~1.3m/min之间,脉冲袋式除尘器的过滤风速在1.0~2.0m/min之间,玻璃纤维袋式除尘器的过滤风速在0.5~0.8m/min。
袋式除尘器过滤风速 (m/min)

实际选型中根据经验、粉尘性质、滤料型号进行选择。
计算方法二:

Vn:黑色和有色金属升华物质、活性炭取1.2m3/(m2·min);焦炭、挥发性渣、金属细粉、金属氧化物等取1.7m3/(m2·min);铝氧粉、水泥、煤炭、石灰、矿石灰等取2.0m3/(m2·min)。
C1:脉冲清灰(织造布)取1.0;脉冲清灰(无纺布)取1.1;反吹加振打清灰取0.7~0.85;反吹风取0.55~0.7。
C2:如图曲线可以查找

C3:如表所列
| 粉尘中位径dm/μm | >100 | 100~50 | 50~10 | 10~3 | <3 |
| 修正系数C3 | 1.2~1.4 | 1.1 | 1.0 | 0.9 | 0.9~0.7 |
C4:如表所示
| 温度t/℃ | 20 | 40 | 60 | 80 | 100 | 120 | 140 | 160 |
| 系数C4 | 1 | 0.9 | 0.84 | 0.78 | 0.75 | 0.73 | 0.72 | 0.70 |
C5:净化后含尘浓度>30mg/m3,取1.0;<10mg/m3取0.95。
三、 过滤面积计算
1、有效过滤面积

2、总过滤面积

S2:滤袋清灰部分的过滤面积
四、单条滤袋面积(圆形)

S4:滤袋未能起过滤作用的面积,一般占滤袋面积的5%~10%。
五、滤袋数量

六、滤袋规格
脉冲袋式除尘器滤袋长径比为:12:1~60:1。直径在120~200mm,袋长2~9m。
七、阻力计算(设备本体结构阻力、滤袋的阻力50~150Pa、滤袋表面粉尘层的阻力,约为干净滤袋阻力的5~10倍。)
设备本体结构阻力与过滤风速有关:约50~500Pa。
过滤阻力计算:
方法一:

ΔP:过滤阻力(包括滤袋阻力和滤袋表面粉尘层的阻力)
A:附着粉尘的过滤系数
B:滤袋阻力系数
M:滤料性能系数
过滤阻力有关系数

方法二:

A、B:粉尘系数
µ:气体动黏系数Pa·s
V:滤袋过滤速度
最佳过滤阻力ΔP
粉尘层阻力确定:细尘:600~800Pa;中位径>20μm的粗尘:250~350Pa
压力损失:除尘器入口至出口在运行状态下的压力差。袋式除尘器的压力损失通常在1000~2000Pa之间,脉冲袋式除尘器的压力损失<1.5KPa。
八、清灰周期t,min

M:滤袋粉尘负荷,g/m2
C:气体含尘质量浓度,g/m3
V:过滤风速,m/min
九、脉冲阀压缩空气耗量
1、压缩空气耗量

Q:喷吹总耗气量
n:脉冲阀数量
t:喷吹周期
a:附加系数,一般取1.2(1.2~1.5)
q:每个脉冲阀一次喷吹的耗气量
2、气包容积设计:
脉冲喷吹后气包内压降不超过原来储存压力的30%。
气包最小体积计算:

Δn:脉冲阀喷吹耗气量摩尔数
Q:脉冲阀一次耗气量
R:气体常数,8.314J/(mol·K)
ΔPmin:气包内最小工作压力
T:气体温度
K:容积系数,<30%
气包上配置安全阀、压力表和排气阀。安全阀采用弹簧微启式安全阀。
3、喷吹管设计
喷吹直径:与脉冲阀出气管的管径相当,采用薄板无缝管。
喷吹管的长度:脉冲阀能喷吹的滤袋数、滤袋的直径和滤袋的中心距。
喷吹管壁厚:管的自重和材质,保证喷吹管不因自重而弯曲。
(3//淹没式脉冲阀喷吹管一般采用无缝钢管,外径Ф89,壁厚≤4mm。)
4、喷吹口孔径

C:系数,取50%~65%
n:喷吹孔数量
d:脉冲阀出口直径
每个喷吹口的孔径计算:

K:喷吹口气流流量与平均值的比值。
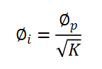
5、导流管计算
导流管直径:通常为喷吹口的2~3倍。

Ck:系数,取0.2~0.25
Φi:喷吹口孔径
K:射流紊流系数,柱形射流K=0.08
6、喷吹管加工安装
A、喷吹管孔径、孔距公差±0.5mm,喷吹管上喷吹口德直线度≤0.8mm
B、喷吹口轴心线的垂直度≤0.4mm
C、滤袋安装垂直于花板,喷吹管喷吹口喷出气流中心线与滤袋中心一致,位置偏差≤2mm。
7、喷吹口和袋口气流速度
喷吹口气流速度:喷吹管形式决定能否达到超音速;压力和温度决定能达到的速度。
A、临界音速ɑ

T0:气体初始温度,K
B、喷吹口喷吹速度V喷吹口

P1:喷吹口出口压力
P0:喷吹口进口压力
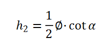
C、袋口气流速度

ә :圆射流紊流系数,0.08
h2:喷吹口到袋口距离
R1:喷吹口半径
D、喷吹管到袋口的距离
方法一:利用射流理论计算

Φ:滤袋直径
α:15.5° cotα= 4.739019(3.60588)
方法二:经验公式计算

E、诱导气量
方法一:

h1:喷吹口到花板距离
C:滤袋排列系数,0.8~1.0,袋间距小,取小值
Q0:喷吹气量
方法二:

A袋口:袋口面积
A喷吹口:喷吹口面积